
Likelihood:
\(y_i \sim Normal(\mu_i, \sigma)\)
Data Generating Process
\(\mu_i = \alpha + \beta_1 x1_i + \beta_2 x2_i + ...\)
Priors:
\(\alpha \sim Normal(0, 1)\)
\(\beta_j \sim Normal(0, 1)\)
\(\sigma \sim cauchy(0,2)\)
Likelihood:
\(y_i \sim Normal(\mu_i, \sigma)\)
Data Generating Process with identity link
f(\(\mu_i) = \alpha + \beta_1 x1_i + \beta_2 x2_i + ...\)
Priors:
…
Likelihood:
\(y_i \sim D(\theta_i, ...)\)
Data Generating Process with identity link
f(\(\theta_i) = \alpha + \beta_1 x1_i + \beta_2 x2_i + ...\)
Priors:
…
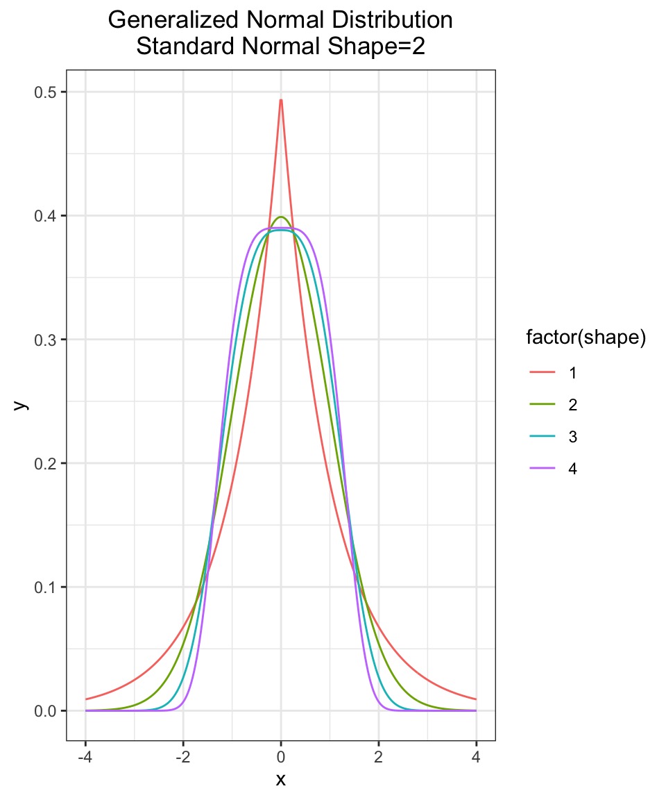
Why use GLMs? An Intro to Entropy
Logistic Regression
Poisson Regression
Poisson -> Multinomial
-McElreath 2017
MaxEnt distributions have the widest spread - conservative
Nature tends to favor maximum entropy distributions
The foundation of Generalized Linear Model Distributions
Leads to useful distributions once we impose constraints
\[H(p) = - \sum p_i log \, p_i\]
Measure of uncertainty
If more events possible, it increases
Nature finds the distribution with the largest entropy, given constraints of distribution
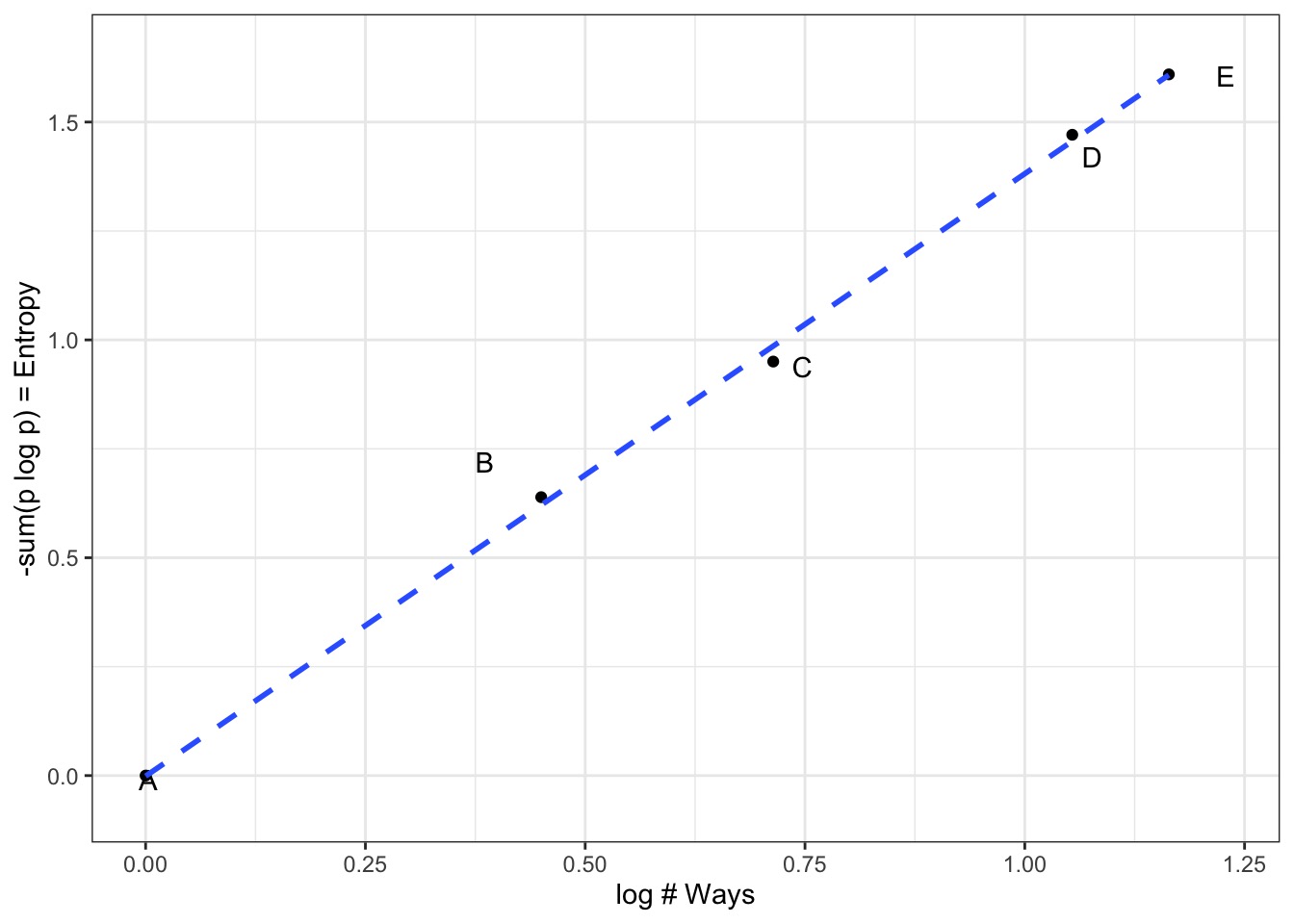
Let’s say you are flipping a fair (p=0.5) coin twice
What is the maximum entropy distribution of # Heads?
Possible Outcomes: TT, HT, TH, HH
Constraint is, with p=0.5, the average outcome is 1 heads
TT = p2
HT = p(1-p)
TH = (1-p)p
HH = p2
Remember, we must average 1 Heads, so,
sum(distribution * 0,1,1,2) = 1
\[H = - \sum{p_i log p_i}\]
| Distribution | TT, HT, TH, HH | Entropy |
|---|---|---|
| Binomial | 1/4, 1/4, 1/4, 1/4 | 1.386 |
| Candiate 1 | 2/6, 1/6, 1/6, 2/6 | 1.33 |
| Candiate 2 | 1/6, 2/6, 2/6, 1/6 | 1.33 |
| Candiate 3 | 1/8, 1/2, 1/8, 2/8 | 1.213 |
Assume 2 draws, p=0.7, make 1000 simulated distributions

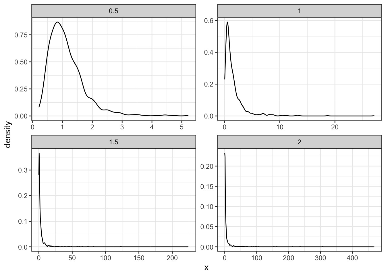
Constraints: mean, finite variance, unbounded
Lots of possible distributions for normal processes
Flattest distribution given constraints: MaxEnt
| Constraints | Maxent distribution |
|---|---|
| Real value in interval | Uniform |
| Real value, finite variance | Gaussian |
| Binary events, fixed probability | Binomial |
| Sum of binomials as n -> inf | Binomial |
| Non-negative real, has mean | Exponential |
Use previous table to determine
Bounded values: binomial, beta, Dirchlet
Counts: Poisson, multinomial, geometric
Distances and durations: Exponential, Gamma (survival or event history)
Monsters: Ranks and ordered categories
Mixtures: Beta-binomial, gamma-Poisson, Zero-inflated processes
Why use GLMs? An Intro to Entropy
Logistic Regression
Poisson Regression
Poisson -> Multinomial
Likelihood:
\(y_i \sim Normal(\mu_i, \sigma)\)
Data Generating Process
\(\mu_i = \alpha + \beta_1 x1_i + \beta_2 x2_i + ...\)
Priors:
\(\alpha \sim Normal(0, 1)\)
\(\beta_j \sim Normal(0, 1)\)
\(\sigma \sim cauchy(0,2)\)
Likelihood:
\(y_i \sim B(size, p_i)\)
Data Generating Process with identity link
logit(\(p_i) = \alpha + \beta_1 x1_i + \beta_2 x2_i + ...\)
Priors:
…
Allows us to predict absolute probability of something occuring
Allows us to determing relative change in risk due to predictors
\[logit(p_i) = log \frac{p_i}{1-p_i} = \alpha + \beta x_i\]
\(\frac{p_i}{1-p_i}\) is odds of something happening
\(\beta\) is change in log odds per one unit change in \(x_i\)
\(p_i\) is absolute probability of something happening
Gender
Admit Male Female
Admitted 1198 557
Rejected 1493 1278
dept applicant.gender admit reject applications
1 A male 512 313 825
2 A female 89 19 108
3 B male 353 207 560
4 B female 17 8 25
5 C male 120 205 325
6 C female 202 391 593
Gender influences where you apply to. Department mediates gender to admission relationship.
#female = 1, male = 2
UCBadmit <- UCBadmit |>
mutate(gender = as.numeric(applicant.gender),
dept_id = as.numeric(dept))
mod_gender <- alist(
#likelihood
admit ~ dbinom(applications, p),
#Data generating process
logit(p) <- a[gender] + delta[dept_id],
#priors
a[gender] ~ dnorm(0,1),
delta[dept_id] ~ dnorm(0,1)
)
fit_gender <- quap(mod_gender, UCBadmit) mean sd 5.5% 94.5%
a[1] -0.4312203 0.5330873 -1.2831968 0.4207561
a[2] -0.5279033 0.5322783 -1.3785869 0.3227802
delta[1] 1.1080121 0.5350322 0.2529272 1.9630969
delta[2] 1.0632155 0.5371968 0.2046712 1.9217597
delta[3] -0.1502507 0.5347763 -1.0049265 0.7044252
delta[4] -0.1826522 0.5350901 -1.0378296 0.6725252
delta[5] -0.6246444 0.5378490 -1.4842310 0.2349421
delta[6] -2.1727096 0.5468627 -3.0467019 -1.2987173
What it means
mean sd 10% 90% histogram
-0.09682634 0.08074047 -0.200614 0.006134635 ▁▁▁▂▅▇▇▅▂▁▁▁
Of course, predictions are 1 or 0 for a straight binomial GLM.
But, more than just coefficient variability is at play
So, we simulate # of successes out of some # of attempts.
Can use this to generate prediction intervals
Why use GLMs? An Intro to Entropy
Logistic Regression
Poisson Regression
Poisson -> Multinomial
It could be just different departments get different #s.
It could be gender + department.
It could be differential application by department.
Use previous table to determine
Bounded values: binomial, beta, Dirchlet
Counts: Poisson, multinomial, geometric
Distances and durations: Exponential, Gamma (survival or event history)
Monsters: Ranks and ordered categories
Mixtures: Beta-binomial, gamma-Poisson, Zero-inflated processes
Likelihood:
\(y_i \sim \mathcal{P}(\lambda)\)
Data Generating Process with identity link
log(\(\lambda_i) = \alpha + \beta_1 x1_i + \beta_2 x2_i + ...\)
Priors:
…
Likelihood:
\(y_i \sim \mathcal{P}(\lambda)\)
Data Generating Process with identity link
\(log(\lambda_i) = \alpha_{gender} + \beta_{dept}\)
Priors:
\(\alpha_{gender} \sim \mathcal{N}(0,1)\) \(\beta_{dept} \sim \mathcal{N}(0,1)\)
WAIC SE dWAIC dSE pWAIC weight
fit_apply 110.2433 3.18072 0.000 NA 5.917586 1
fit_apply_add 2221.8544 492.01731 2111.611 515.916 603.643871 0
Why use GLMs? An Intro to Entropy
Logistic Regression
Poisson Regression
[Poisson = Multinomial]]{style=“color:red”}
Well, maybe admission bias differs by departments?
Can we turn our application results into probabilities to calculate direct, indirect, and total effects?
WAIC SE dWAIC dSE pWAIC weight
fit_gen_int 90.21511 3.396592 0.00000 NA 6.457929 0.9998486738
fit_gender 107.80696 15.647798 17.59184 16.52952 9.044645 0.0001513262
Normally we’d use a multinomial to get probabilities of multiple classes. \[X \sim Mult(n, \pi)\]
BUT - a poisson with categories can turn into a multinomial!
\[X \sim Mult(n, \pi)\]
If \[X_1 \sim P(\lambda_1)\] \[X_2 \sim P(\lambda_2)\] … \[X_k \sim P(\lambda_k)\]
then n = \(X_1 + X_2 +....X_k\) where \(\pi=(\pi_1,\ldots,\pi_k)\)
So: \[\pi_j=\dfrac{\lambda_j}{\lambda_1+\cdots+\lambda_k}\]
Direct Probability of Admission if a Woman:
[1] 0.8152725
Probability of Applying to A if a Woman:
[1] 0.05875285
0.06 * 0.81 = 0.0486